Search
Home Impurity Buspirone EP Impurity F
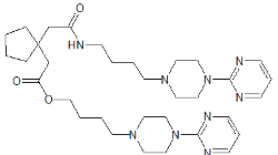
Buspirone EP Impurity F
Synonyms Buspirone EP Impurity F
Chemical Name 4-[4-(Pyrimidin-2-yl)piperazin-1-yl]butyl[1-[2-oxo-2-[[4-[4-(pyrimidin-2-yl)piperazin-1-yl] butyl] amino] ethyl] cyclopentyl] acetate
CAS No NA
Molecular Formula C33H51N9O3
Molecular Weight 621.82
Buspirone_EP_Impurity_F

Products

Buspirone EP Impurity L
21098-11-3
257.76
C13H20ClNO2
view more
Buspirone EP Impurity J
NA
624.81
C34H52N6O5
view more
Buspirone EP Impurity A
20980-22-7
164.21
C8H12N4
view more
Buspirone EP Impurity B
NA
299.21
C12H19BrN4
view more
Buspirone EP Impurity C
257877-45-5
382.51
C20H30N8
view more
Buspirone EP Impurity D
NA
491.07
C24H39ClN8O
view more
Buspirone EP Impurity E
257877-46-6
403.52
C21H33N5O3
view more
Buspirone EP Impurity F
NA
621.82
C33H51N9O3
view more
Buspirone EP Impurity G
84746-24-7
242.28
C12H14N6
view more
Buspirone EP Impurity H
NA
622.8
C33H50N8O4
view more
Buspirone EP Impurity I
NA
419.95
C21H30ClN5O2
view more
Buspirone EP Impurity K
1075-89-4
167.21
C9H13NO2
view more
Buspirone EP Impurity M
80827-62-9
302.21
C13H20BrNO2
view more
Buspirone EP Impurity N
NA
388.50
C22H32N2O4
view more